Forum Discussion

MAYURIV's avatar
MAYURIV
Copper Contributor
Apr 03, 2023

Appending all data of tabs into a master excel

hi,

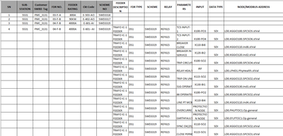
We have an excel sheet which consists of below data.

SNSUB-STATIONFEEDER RATINGCkt CodeSCHEME NO
1SS31800AE-503-AOSWD3318
2SS3190KWE-402-AOSWD3317
3SS314000AE-601-AISWD3319
4SS314000AE-601--AISWD3319

 

There is one more excel sheet which consist of tabs which matches the scheme no. data name.

 

We need to copy all data from the respective tabs and append the data next to scheme no. cell like below in a 3rd workbook which will be master sheet. We have copied the data from one of the tab SWD3319 to master excel. So, similarly whenever there is a match in scheme no. of first excel with tab name of another excel, data has to be appended in master excel automatically. Please help with the easiest way to automate this activity.

 

Thanks & Regards,

Mayuri 

 

 

 

3 Replies

  • NikolinoDE's avatar
    NikolinoDE
    Platinum Contributor

    MAYURIV 

    You can try using Flash Fill instead of the split cell button.

    Flash Fill is a feature in Excel that automatically fills in values for you based on patterns it recognizes in your data. 

    To turn Flash Fill on, go to Tools -> Options -> Advanced -> Editing Options -> check the Automatically Flash Fill box.

    Here’s how you can use Flash Fill to split data into two columns:

    1. Type the data into two separate columns next to each other.
    2. In the column next to the data you want to split, start typing the new data format.
    3. Excel will automatically recognize what you’re trying to do and fill in the rest of the column.

     

    I hope that helps!

    NikolinoDE

    I know I don't know anything (Socrates)

    • MAYURIV's avatar
      MAYURIV
      Copper Contributor

      NikolinoDE 

       

      We dont want to type.

      We want the data to be populated automatically just on click of one button.

      Please go through my original post again.

      Regards,

      Mayuri

      • NikolinoDE's avatar
        NikolinoDE
        Platinum Contributor

        MAYURIV 

        I'm a simple user like you, every contribution from me is on a voluntary basis and without guarantee. It's called helping people to help themselves. I only gave you a suggested solution, if you don't like it, please just ignore it. Or you can open a new request. Please just keep in mind that since yesterday your message has been seen by over 50 people and only I have replied.
        Therefore, if I may recommend you, insert a file (without sensitive data) and describe your project step by step (cell by cell). A little more information about the Excel version, operating system, storage medium, etc. would be beneficial.
        Anyway, I wish you continued success with Excel.

         

        Thank you for your understanding and patience

         

        NikolinoDE

        I know I don't know anything (Socrates)

Resources