Forum Discussion

LeoHink's avatar
LeoHink
Copper Contributor
Apr 12, 2022
Solved

How to turn a monthly list of prices into a yearly list of average annual price.

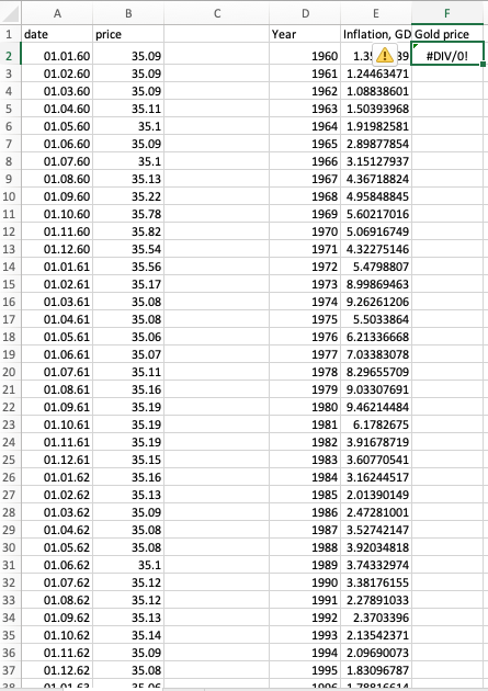
Please see the screenshot below. I'm trying to match up two lists one has the monthly price and the other is a yearly inflation rate. I'm trying to take the annual average of column B so that I only have yearly data. Trying to use averagifs but I must be missing something. Also formatting of column D is general as when I try to format as yyy it only returns 1905 for some reason. 

3 Replies

    • LeoHink's avatar
      LeoHink
      Copper Contributor
      I figured it out actually thank you very much! works a charm
    • LeoHink's avatar
      LeoHink
      Copper Contributor

      OliverScheurich 

      Thank you for your help! 

       

      For some reason I cannot make the helper column. When I do =YEAR(D2) it returns 1905 rather than 1960. This is so strange and frustrating. 

Resources