Forum Discussion

mikec5000's avatar
mikec5000
Copper Contributor
Jul 28, 2022
Solved

Help with vlookup / index or other

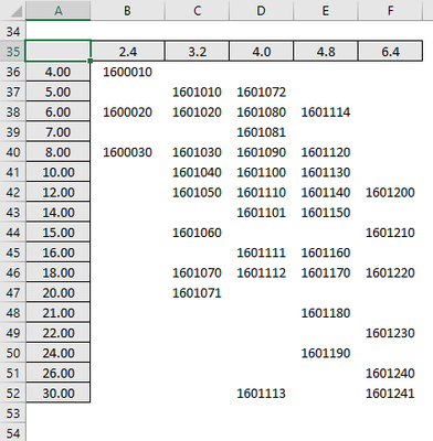
Hi, I have dropdown boxes on the chart below in H3 & I3. What im trying to do is post the number in the chart in the 2nd image to cell N3 depending on what is selected in H3 & I3, Is this possible?

 

Any help will be appreciated.

 

  

2 Replies

  • Harun24HR's avatar
    Harun24HR
    Bronze Contributor

    mikec5000 

    Below formula should work for you.

    =INDEX(B36:F50000,MATCH(I3,A36:A50000,0),MATCH(H3,B35:F35,0))
    • mikec5000's avatar
      mikec5000
      Copper Contributor
      Perfect! Thank you so much! Worked perfectly

Resources