Forum Discussion

motorsportmarcel's avatar
motorsportmarcel
Copper Contributor
Jul 01, 2021

Correlation coefficient in Trendline

Hello all,

 

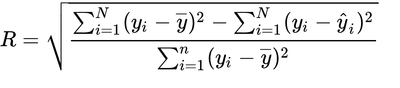
I have a question regarding the coefficient of determination that can be displayed with the trend lines. I think I found the equation to calculate this coefficient (see picture). This equation is called general empirical correlation coefficient and can be found like this on the German Wikipedia page about correlation coefficient. I compared the coefficient of determination by hand with some test data sets. The equation seems to be correct.

 

Now my two questions:
1) Is the equation really the correct one (which is used by Excel)?
2) Is there a scientific book where I can find this equation as well (Wikipedia is not a source for scientific papers)?

 

With kind regards

Marcel

 

System: Windows 10; Excel 2013 (but not relevant)

 

Wiki-Link: https://de.wikipedia.org/wiki/Korrelationskoeffizient#Allgemeiner_empirischer_Korrelationskoeffizient

 

 

Equation (from Wiki):

 

 

1 Reply

  • JKPieterse's avatar
    JKPieterse
    Silver Contributor
    I would say any proper textbook on statistics would contain this formula. Visit your library.

Resources