Forum Discussion
motorsportmarcel
Jul 01, 2021Copper Contributor
Correlation coefficient in Trendline
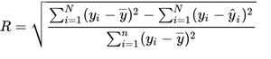
 Hello all,     I have a question regarding the coefficient of determination that can be displayed with the trend lines. I think I found the equation to calculate this coefficient (see picture). This ...
JKPieterse
Jul 05, 2021Silver Contributor
I would say any proper textbook on statistics would contain this formula. Visit your library.