Forum Discussion
Hogstad_Raadgivning
Oct 02, 2023Steel Contributor
How to make this diagram in Excel.
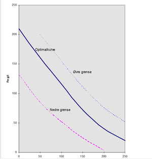
Hi, I need a digram with 3 curves, - Uper values - Optimum values - Lover values How should I do this? Best regards - Geir
HansVogelaar
Oct 02, 2023MVP
Create a source range with x-values in the first column, lower values (where available) in the second column, optimal values in the third column, and upper values (where available) in the fourth column.
Create an XY Scatter chart from the source range.
- Hogstad_RaadgivningOct 02, 2023Steel Contributor
Thank you HansVogelaar They are "always" available. It should excactly like the example.
Al I get is a stright line.
Best regards
- Geir
- HansVogelaarOct 02, 2023MVP
The data in your workbook look completely different from the data behind the chart in the picture!
Nedre grense and Øvre are completely blank, and Optimal = x verdier, so you get a straight line indeed.