Forum Discussion
Anonymous
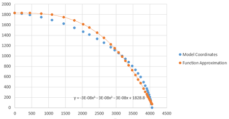
Nov 03, 2018How do remove data points on a graph and keep the trendline for the same data points?
I want to keep the blue data points, remove the orange data points but keep the orange trendline? Thank you in advance!
- Nov 05, 2018
Hi William
Are those DATA Points markers in your chart?
if so you can right click on the line and choose format data series - Marker - None
Wyn Hopkins
Nov 04, 2018MVP
Can you make the outline colour of the Orange Line as "no outline" ?
Anonymous
Nov 04, 2018I want to keep TRENDLINE but delete orange DATA points , whilst keeping blue data points.
I can change trendline to no outline but that would just hide the trendline and not the data points
- Wyn HopkinsNov 05, 2018MVP
Hi William
Are those DATA Points markers in your chart?
if so you can right click on the line and choose format data series - Marker - None
- AnonymousNov 05, 2018
Hi Wyn,
Thank you so much - it worked!
I really appreciate your help!
Will