Forum Discussion

Andhy_SR's avatar
Andhy_SR
Copper Contributor
Aug 07, 2024

How do I change a chart legend's marker size without affecting the main marker

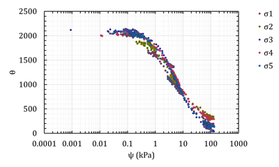
How can I change the marker size in the legend of an Excel chart without affecting the main marker in the plot area? Sometimes it is necessary to have small plot markers which affect the legend's markers size, which makes the legend unclear, as seen in the attached image.
Thanks.

2 Replies

  • GeorgieAnne's avatar
    GeorgieAnne
    Iron Contributor
    Hello Andhy_SR
    I am not sure you can, without MANUALLY changing things. I think these are tied to each other and you change one the other will change as well,

    Think about it this way: If I tell you * means something. But the chart has + the + does not have a description in the legend, * is in the legend??? It will not make any sense to the reader.

    Hope this helps.
    • Andhy_SR's avatar
      Andhy_SR
      Copper Contributor

      Yes, I understand your point. Thank you for your response. I respectfully disagree that the legend markers must exactly match the chart markers in size. In reality, especially in the scientific world, it's important for the legend to be clear and informative for the reader. In my case, the markers in my chart need to be smaller because I have more large amount of data. I have found that Excel can be used for scientific data processing without relying entirely on fully algorithm-based programming software, though some VBA tricks are necessary. I was able to achieve my goal by editing the chart using Inkscape. However, I was wondering if there is a way to make the legend markers editable directly within Excel. I hope the Excel engineers can consider this "more needs" feature in the future rather than focusing on the "ineffectively" apperance improvement.

       


      GeorgieAnne 

Resources