Forum Discussion
Couldn't calculate exponential trendline intercept value using exponential equation.
Hi Vogelaar, Thank you for the reply.
For the exponential trendline, intercept value calculated as 2E+308 as shown in below trendline equation. I need intercept equation.
Thanks in advance.
1.8E+308 is the second value returned by the LOGEST formula that I posted in my previous reply. The equation on the chart rounds this to 2E+308.
The number -0.242 in the exponent is the LN of the first value returned by LOGEST:
LN(0.785027) = -0.24204
- gayathrimanickDec 31, 2021Copper Contributor
HansVogelaar., Thank you. Could you please share the complete equation for getting this value 1.8E+308 or 2E+308 in excel. I need to convert this equation to equivalent c# code.
Thanks in advance.
- JoeUser2004Dec 31, 2021Bronze Contributor
gayathrimanick wrote: ``Could you please share the complete equation for getting`` the trendline formula.
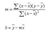
Adapted from the LINEST function support page, excerpted below.
For LINEST(ln(Y), X), ln(y) = m*x + b, and y = EXP(b) * EXP(m*x), where assuming X is A1:A5 and Y is B1:B5:
for m, array-enter:
=SUMPRODUCT(A1:A5 - AVERAGE(A1:A5), LN(B1:B5) - AVERAGE(LN(B1:B5)))
/ SUMPRODUCT((A1:A5 - AVERAGE(A1:A5))^2)
for b, array-enter (replace "m" with a cell reference):
=AVERAGE(LN(B1:B5)) - m*AVERAGE(A1:A5)
-----
LINEST function support page excerpt:
- gayathrimanickJan 02, 2022Copper Contributor
JoeUser2004 Thanks for the reply.
I used the suggested =AVERAGE(LN(B1:B5)) - m*AVERAGE(A1:A5) for calculating b. When using EXP(b) again I got #Num! error. When evaluating the EXP(b) value, the resultant value will be like
How do I get rid of this? Is there any other feasible way "2E+308" or "1.79769313486232E+308" to get this value for b.
Thanks in advance.
- HansVogelaarDec 31, 2021MVP
I don't know the code behind the LOGEST function.