Forum Discussion

mohdt21's avatar
mohdt21
Copper Contributor
Nov 14, 2021

Sigma upper and lower notation in WORD equation

Good Morning community,

 

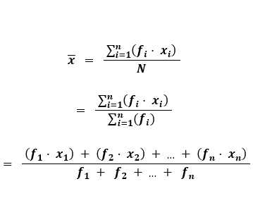
I have this issue with writing a fraction that includes a sigma notation with both upper and lower bound. It's okay but the bounds instead of being as shown below it come forward on the same level of the sigma sign which is not okay for teaching my students. Any help?

 

 

 

and yes I am using the correct style I know there are 2 of them but I am using the correct one but when I am using the fraction it turns to the other style.

No RepliesBe the first to reply

Resources