Blog Post

Messaging on Azure Blog
2 MIN READ

Service Bus Premium SKU Performance Update

EldertGrootenboer's avatar
Sep 03, 2024

In 2016 we announced the general availability of Service Bus Premium, which offers dedicated resources and consistent performance for mission-critical workloads. At this point we also published a blogpost that showed the results of the performance benchmarks we ran on this SKU.

 

Since then, we have made a variety of improvements to Service Bus Premium, providing even better performance for our customers’ workloads. In this blogpost, we will revisit the performance benchmarks from 2016 and compare them with the current performance of Service Bus Premium in 2024.

 

Methodology

We ran this benchmark in the same configuration as for the previous blogpost. We used a performance benchmark tool, which can be found on GitHub. The benchmark tool was run on D48 VMs located in the same region as the namespace.

 

The benchmarks tested three scenarios: a single queue, a single topic with a single subscription, and a single topic with five subscriptions. The tests used 1, 2, and 4 messaging units (MU), which are the units of scale and performance in the premium SKU. Furthermore, the tests used 1 KB message size, the AMQP protocol, and implemented batching.

 

For each test we measured the average throughput (messages per second) for our send and receive operations.

 

Results

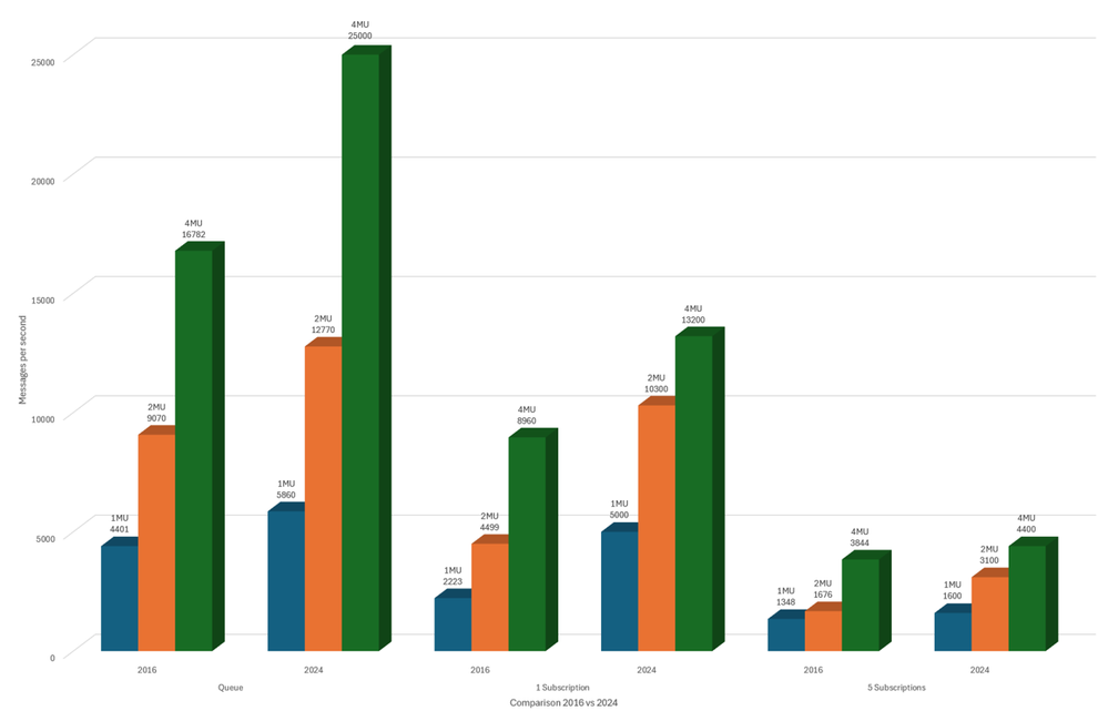
Below are the results for the send and receive operations, and how these compare to those found in 2016. This indicates the number of messages that came through Service Bus per second, so higher numbers mean better performance.

 

Send

 

Below are the numbers for each of these tests, and the improvement in percentages compared to the same tests in 2016.

 

   

# of MUs

Improvement % from 2016 to 2024

Entity Type

Year

1MU

2MU

4MU

1MU

2MU

4MU

Queue

2016

4401

9070

16782

54%

41%

49%

2024

6790

12770

25000

1 Subscription

2016

2223

4499

8960

125%

129%

47%

2024

5000

10300

13200

5 Subscriptions

2016

1348

1676

3844

19%

85%

14%

2024

1600

3100

4400

 

Receive

 

 

Below are the numbers for each of these tests, and the improvement in percentages compared to the same tests in 2016.

 

   

# of MUs

Improvement % from 2016 to 2024

Entity Type

Year

1MU

2MU

4MU

1MU

2MU

3MU

Queue

2016

4401

9069

16782

54%

41%

49%

2024

6790

12770

25000

1 Subscription

2016

2220

4493

8956

125%

129%

47%

2024

5000

10300

13200

5 Subscriptions

2016

2994

8331

19202

167%

84%

15%

2024

8000

15300

22000

 

Conclusion

These results show that there has been a significant performance improvement since we first introduced Service Bus Premium, with an average increase of ~50%, and even over 150% for some scenarios. Of course, we are going to continue improving our service, where performance is always on top of mind.

Updated Aug 30, 2024
Version 1.0

1 Comment